Xianchang Li, Ph.D.
Professor

For decades, the designers of gas turbines for aircraft and power generation have tried to increase the energy efficiency by elevating the turbine inlet temperature. Modern turbine inlet temperatures exceed the melting-point temperatures of blade materials. To fight and avoid failure of blades in gas turbine engines due to the excessive operating temperature, film cooling has been incorporated into blade designs. However, it is very hard to have a cooling scheme to cover the blade surface uniformly. The poor cooling coverage forces the designers to increase the cooling flow rate, which may lower the turbine’s efficiency due to the aerodynamic loss. Dr. Li’s major contribution in this area is
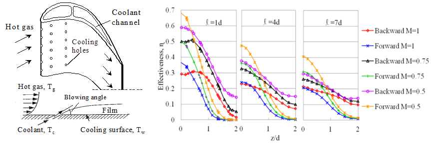
Funded by National Science Foundation (NSF), Dr. Li’s research shows that the backward injection coverage is much more uniform when compared to its counterpart. Figure below shows the concept of film cooling as well as the comparison of cooling effectiveness between forward and backward injections. A more uniform coverage in the case of backward injection can be seen at different blowing ratios (M) and locations (l/d). Mist injection is also approved promising to improve the performance of film cooling: A small amount of tiny water droplets or mist can significantly improve the cooling effectiveness. The current effort is to investigate the impact of blade cooling on aerodynamic loss and stage-level efficiency.

The combustor in gas turbines is critical to operation. First, the combustor liner needs to be maintained at a certain temperature, to which different cooling technologies can be applied. For the combustor, the penalty of cooling on aerodynamic loss is less critical. The most important issue is the combustion itself, mainly the combustion efficiency and emission. One of the on-going research projects is to investigate flow and combustion in a gas turbine combustor, focusing on emission reduction by using rigorous chemical mechanism. The figure below shows the model of a gas turbine combustor in a preliminary study, which is a canned type with swirling secondary air flow. The tertiary air is supplied through the holes on the liner. The temperature contour from large eddy simulation (LES) is presented. With the rigorous chemical mechanism, different models for soot and NOx will be explored. The best combination of these models will be applied to seeking a solution for low emission and high combustion efficiency.


It is known that both human activities and climate change could impact the water quality and availability. For example, water quality is degraded due to improper industrial discharge in many cases. However, how the water system is affected by those activities is not well understood, which is due to the complexity of the problem and limited observational data. Sustainable water management can only be possible when the water quality and quantity can be reasonably predicted via a model. Therefore, the current effort in this area is to develop a detailed 3D hydrodynamic model to predict the water flow, temperature profiles, water quality parameters such as dissolved oxygen (DO) under various weather conditions and human activities. Other than the inflow and outflow setups, water circulation, especially in a limited area such as a pond, can be quite complicated because of wind, sunshine, and ambient temperature. One scenario is flow stratification when the surface temperature is high and buoyancy force slows down the mixing process in the vertical direction. The figure below shows a simple 2D case with mixing effect by wind and heating effect by sunshine. It can be seen that the water body is separated into two regions and only the temperature in the top region is raised. Correspondingly, the circulation in the bottom part is limited. After a detailed model is developed and validated, it becomes possible to justify a modification proposed to improve the water quality. For example, a pipe system can be proposed to redirect the water flow so that the circulation can be improved.


Industrial Flares Predicted by Large Eddy Simulation (LES)

Flame inside a Gas Turbine Combustor Predicted by Large Eddy Simulation (LES)